Nice spin Xyro, I don't think I've ever seen that classic that way. I'll have to remember that alternate.
1st point: you might not have intended or realized this, but this indirectly proves my point. I'll get to it after number 2.
2nd point: repeating numbers exist because of division. You slightly hint at this with the cake reference, but is an unwanted consequence of dividing by certain prime numbers. Also, not every decimal that is infinite in length is a repeating number. The two most famous ones being PI (the ratio between a circle's circumference and diameter), or e (the base of the natural logarithm).
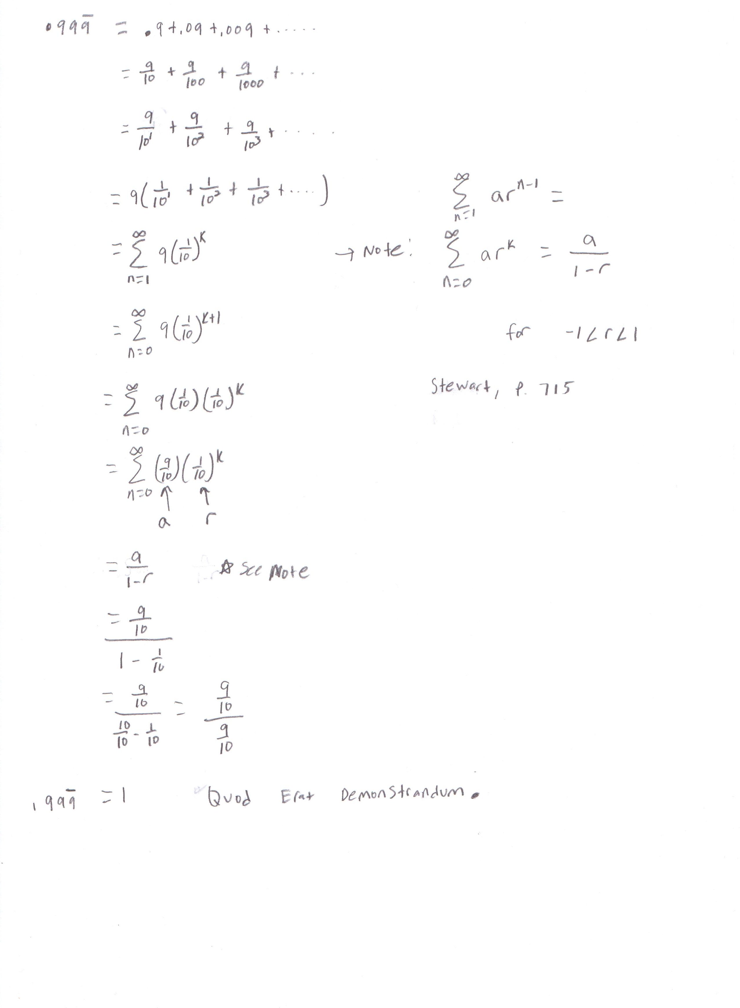
Back to number 1, which is an expansion on a slightly less rigorous method shown earlier.. The cake problem is exactly how defining 1/3 comes about. If you attempt to define 1/3 in decimal form, it becomes a never ending attempt of dividing 3 into 10. You will always get 3 with a remainder of 1, and thus have to bring down another 0 and create a brand new 10, and the resulting decimal is .333... or .333` as you last wrote. Extrapolate that problem to 2/3. This ones again turns into a never ending problem, but this time trying to divide 20 by 3, which results in 6 with a remainder of 2, forcing you to bring down the next zero. These numbers do not terminate because the division never terminates, not because we don't want them to or because it is convenient for them to continue on forever, it's because that's how the algorithm is done. In conclusion, simple addition of 1/3 + 2/3 would get us 3/3 or 1. since .333... and .666... only contain 3s or 6s and. There is no 4 in 1/3 or 7 in 2/3 at the end of the tunnel,and 3+6 is nine, so the result of adding .333... (1/3)and .666... (2/3)would give us .999... (3/3=1). And while not everything can be easily cut into thirds, one thing that can be cut into thirds are circles into into 3 120 degree parts.
Point 3) All of the great mathematical minds accept the fact that .999... = 1, which is why this particular problem in relation to accepting it to be true is studied, because it puzzles us mathematicians why people cannot accept it to be true when the math is 100 percent sound. In fact, math is one of the only things that is ABSOLUTE. The 5 basic operators(+-*/^) don't just work in some cases and not in others. If you follow the rules of math, it will always work out and will always be correct, granted, not everyone knows all the rules as evident in many papers I grade

. If you drive at a
constant rate of 60mph, for exactly 2 hours, you will drive 120 miles. not 119, not 121, but exactly 120. . Mathematicians might not have discovered or proved everything in math, such as the P=NP question, the Riemann Hypothesis, or any of the other millennium questions, but what has been proven is FACT.
Accepting things to be true that don't intuitively seem to be true is tough. I was the same way when I was in school with certain topics, such as the total number of integers and rational numbers (fractions) are equal until I saw the proof using the Cantor pairing function
(it's actually quite elegant) .